© 2026 Hedgehog Software, LLC
Twitter
GitHub
Discord
System
Light
Dark
More
Communities
Docs
About
Terms
Privacy
Search
Star
Feedback
Setup for Free
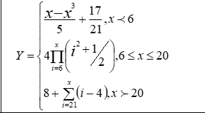
❔ what is the name of such a system? - C#
C
C#
•
3y ago
•
7 replies
PLAYAFXC
❔ what is the name of such a system?
C#
Join
We are a programming server aimed at coders discussing everything related to C# (CSharp) and .NET.
62,470
Members
View on Discord
Resources
ModelContextProtocol
ModelContextProtocol
MCP Server
Recent Announcements
Similar Threads
Was this page helpful?
Yes
No
Similar Threads
Is there a name for this type of code/system?
C
C# / help
3y ago
❔ What is the use of datatype after function name?
C
C# / help
4y ago
✅ What's the name of this font?
C
C# / help
3y ago