10 Replies
@Apu
Note for OP
+solved @user1 @user2...
to close the thread when your doubt is solved. Mention the users who helped you solve the doubt. This will be added to their stats.
,rotate

Aa to pi/3 hi raha ha

@hardcoreisdead
Yo man, is this cleared?
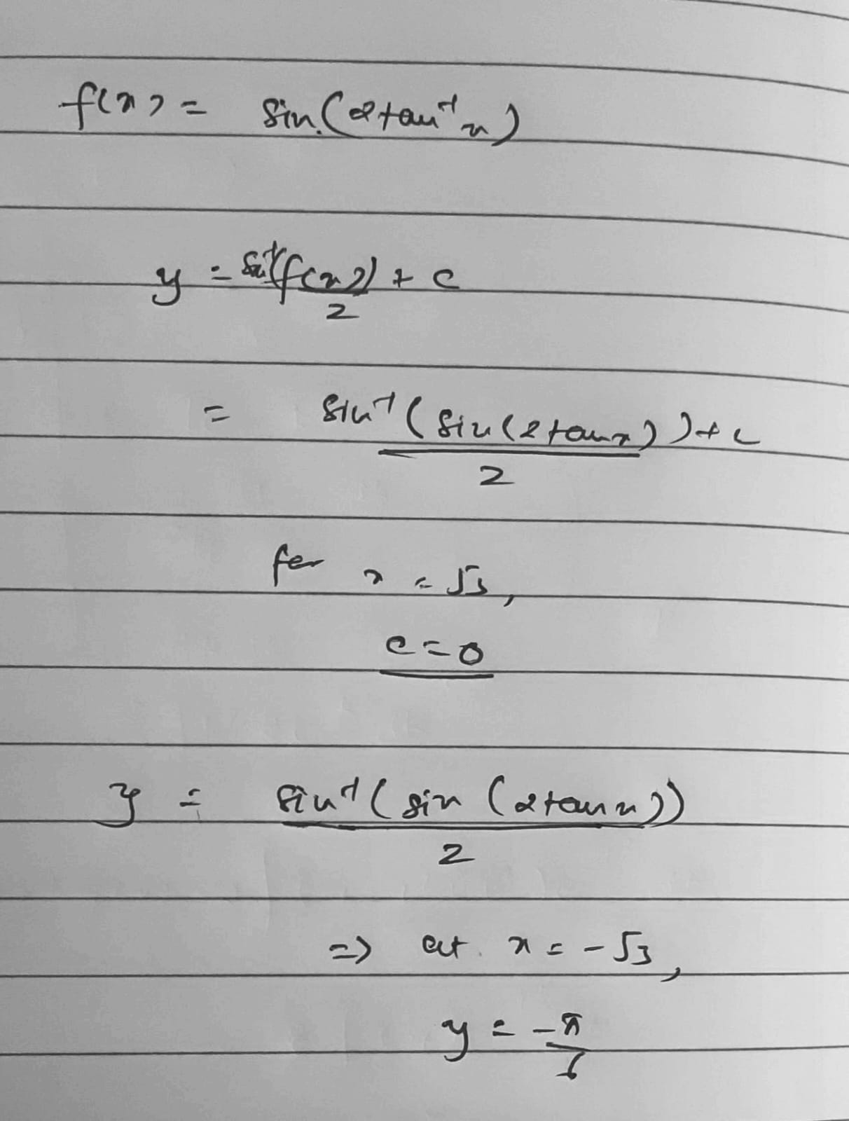
where am i going wrong
Writing arcsin(sin(x)) as x