40 Replies
@Apu
Note for OP
+solved @user1 @user2...
to close the thread when your doubt is solved. Mention the users who helped you solve the doubt. This will be added to their stats.i was able to fig out A
not any other option tho
C ans hai kya?
multi corrrect
c bhi zero hoga
Skew symmetric hai
oh haan
baaki options ??
ye to krna pdega yar det khol ke:uhh:
Are D to bohot asan hai
wo laga de
base changing property
log xyz to the base xko logxyz/logx
Aise hi sare likh de
Har row ye 1/logx 1/log y 1/loz common ajyega
Or andar same ban jyega sab
@hardcoreisdead
b wale me C3 ko phele simplify kr fir C3=C3xabc krde
D toh aa gya tha
B mein dikkat hia
.
samjha nhi
oh
wait
wait i think mene kuch galt krdia let me check lol
My bad @hardcoreisdead dont do that
We cant use that operation
Det ka value change krdia aise to

ab -1 se multiply divide kardia
Wait i got a better way
aa gya 0
:uhh: alright
baaki bhi batado lage haatth
hints if possible
Que 2 and 3?
haan
in 3 i did bsinA = asinB and csinA = asinC
fir r1 and c1 se a common le lia
uske baad khol dia
aur ek gandi si term aai
idk more sot to solve that
let me try
Nobody knows that shit chapter bro:kekw:
sine rule laga kr dekha?
a=KsinA b=KsinB c=KsinC
usi se yeh aya
ohh nice idea
chord ye to det hi zero
bina kuch chede simplify krde sab kat jayega
roughly solve kia hai try kro wrna likh k bhejta fir
CosA=(b^2+c^2-a^2)/bc ye lgega last me to bata dia formula
bruh how am i supposed to know aise hi kholna hai
doubtnut ?
I didnt knew either :kekw: wo tumne sot ka naam lia to samjha
Eh:uhh:
Formula hai sot ka
han woh toh pata hai
meine doubtnut pe dekha
vese wo sin wale se bhi ho jayega
Lengthy jyega but
i thought they are just bsing
Doubtnut ke soln pr bhrosa kon krta hai bhay wo khud kya bolte hai unne khud ni malom
Hota
whi whi
sin wale se try if kare or ajye to batana
yeh bana tha

iss se kuch identity yaad aaye toh batana
cosAsinBsinC kahin toh dekha hai
ha shi kehra
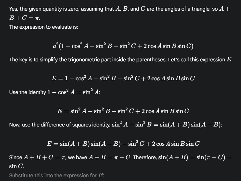
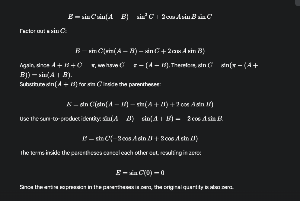
it indeed is zero
ill show wait


Noicee
ques 2 bhi ho gya merse
but what is option D in ques 2 lol
0 🗿
+solved @Real potato
Post locked and archived successfully!
Archived by
<@741159941934415883> (741159941934415883)
Time
<t:1757685643:R>
Solved by
<@1088352651567173632> (1088352651567173632)