Pinacol-Pinacolone Rearrangement
Could anyone please provide the mechanism for the reaction when this reacts with H+ ?

5 Replies

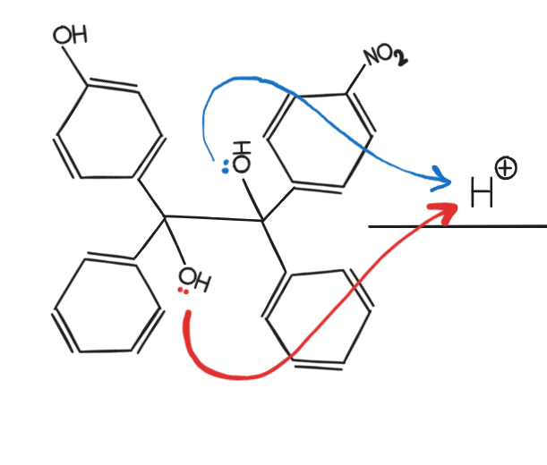
like this i think
we want to create pinacolone with most stable carbocation being supported by OH and attacking with that OH's lone pair to make the double bond O

if red path is taken
We will get + on left side
which is good
stability wise
but there is no OH there now
so we try the other one (blue)
and after rearrangement (phenyl shift)
u get a stable carbocation with OH attached
now just shift the lone pair of O and ur done