12 Replies
@Apu
Note for OP
+solved @user1 @user2...
to close the thread when your doubt is solved. Mention the users who helped you solve the doubt. This will be added to their stats.what in the world is this plm man🥀
i hve tried it for like half an hour
got it
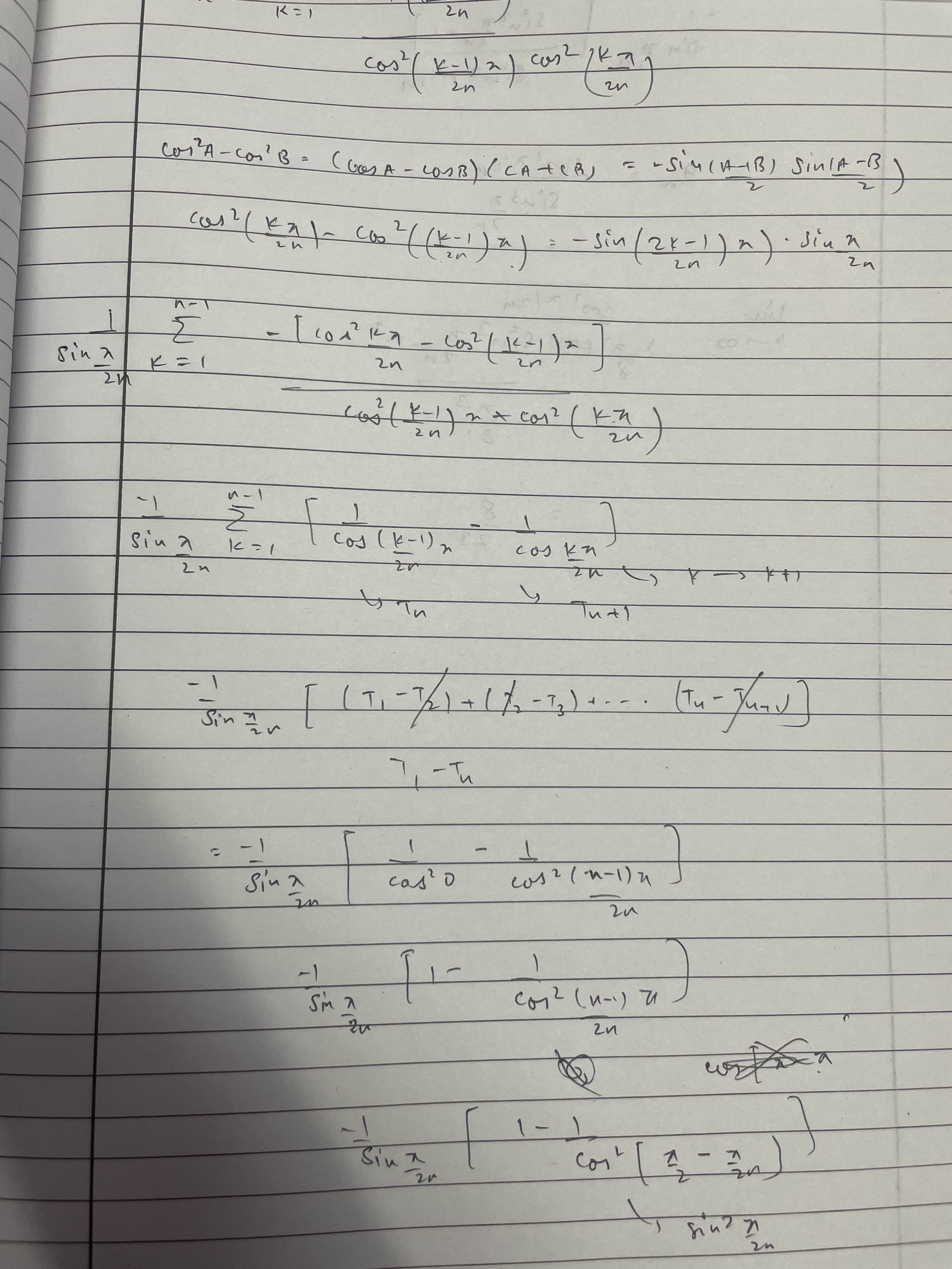
the idea is used is niche wale cos me angle ka sum krne pr upar jo sin me hai wo mil jayega
Jo to create something like a+b
I used
cos^2 A - cos^2B= -sin(a+b)/2 sin(a-b)/2
yaha se sin(a+b)2 ka value plug in kia
pura series cos me agya
Telescopic method lagaya and last me simple wo sinx/x wala formula laga k im gettin 8/pi^3


that is pi^3 in the denom
Wo 1/L tum kr lena i forgot
Alr ill check it out
I checked it online and it was from a math olympiad💀
Jee mains paper btw
They hve a habit of copy pasting questions
they even ask jee adv que in mains
Sahi mein
The whole paper was like this
Gharvale dar jate ki mains mein 120 kyu aa rahe hain 😭
these que are just meant to waste time in mains🙂↕️
+solved @Real potato
Post locked and archived successfully!
Archived by
<@1382187168230936577> (1382187168230936577)
Time
<t:1759749573:R>
Solved by
<@1088352651567173632> (1088352651567173632)