8 Replies
@Apu
Note for OP
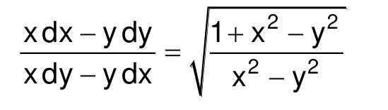
+solved @user1 @user2... to close the thread when your doubt is solved. Mention the users who helped you solve the doubt. This will be added to their stats.i wanna solve this :

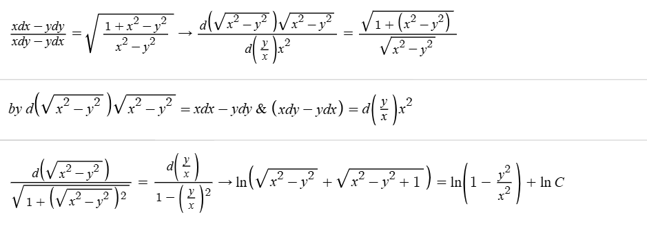
their solution

i used the formulae in 2nd step
if its not clear
so the solutions dont match
guys anyone??
i dont get ur doubt
like the integral is coming different?
ok nvm i forgot to multiply by 1/2
while integrating
+solved @AY
bruh
+solved @vj25_
Post locked and archived successfully!
Archived by
<@928940800178544691> (928940800178544691)
Time
<t:1761842599:R>
Solved by
<@1336740240563372134> (1336740240563372134)
