NLM
I have a dbt i was deriving result and got that Delta T=lemda g delta H only when theta2=±theta1
I think this is possible only when delta H=0 which doesn't make the result sensible
I think this is possible only when delta H=0 which doesn't make the result sensible

11 Replies
@Gyro Gearloose
Note for OP
+solved @user1 @user2... to close the thread when your doubt is solved. Mention the users who helped you solve the doubt. This will be added to their stats.can u please share the proper ques
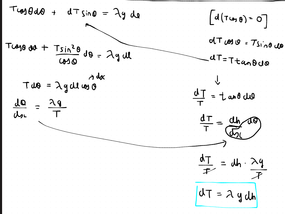
Its case of tension in hanging rope scenerio

Like see to find height we just use this result which i am not getting while deriving it and if i am trying to make it same result it becoming in sensible
u made a mistake here

correct derivation is like this

Thanks alot brother itni si mistake ne khi ghnte. Barbad kr diye
Kyi logo se discussion hua kisi ne ye glti nhi btayi sb alag hi idhar udhar ki bate khr he the many hrs wasted
Really thanku bro i was doing such wierd mistake can't belive
yea took me some time to figure it out lol
Yea bro i am like how i made such error