8 Replies
@Apu
Note for OP
+solved @user1 @user2... to close the thread when your doubt is solved. Mention the users who helped you solve the doubt. This will be added to their stats.How to proceed? ;-;
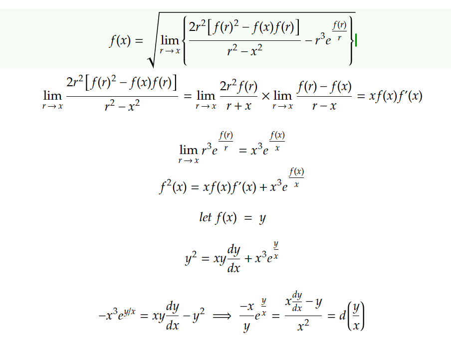
very good q
u have to make differential
eqn
and solve it

if u see f(tending to x) - f(x)/tending to x - x
use first definition
to make f'(x)
u solve the differential and then use f(1) = 1 to get constant
then put x = a and y = 0 (as f(a) = 0) and then find a
Thanks bro ill check it out
mb its d(y/x)/dx
