25 Replies
@Gyro Gearloose
Note for OP
+solved @user1 @user2... to close the thread when your doubt is solved. Mention the users who helped you solve the doubt. This will be added to their stats.i got the majority part
only one minor problem

,rotate


,rotate

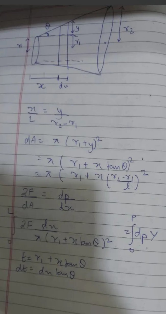
P means extension here
shouldnt the element experience force in both the directions
It should
Can u briefly explain wht hve u done. I hve def seen this type of derivation before but im unable to recollect rn.
nothing much just basic integration
go through the solution once
thermal and current electricity dono mei kara hoga yeh
maybe kahin koi calc error kara ho meine
2F ki jagah only F should be there
why
Yyah gotta revise this one

ye dono condition same he if u remember from NLM so u just take singular F

Hmm
so u r saying that if i pull a rope tied to a pole , the extension in it would be the same as u and me pulling it ?
yes
ok right normal exists
sincce ultimately yaha pe bhi utna hi force lg rha he

hmm
+solved @hardcoreisdead @integralofe^2v
Post locked and archived successfully!
Archived by
<@1088352651567173632> (1088352651567173632)
Time
<t:1764664240:R>
Solved by
<@741159941934415883> (741159941934415883), <@813025027611688970> (813025027611688970)
