Search
Star
Feedback
Setup for Free
© 2026 Hedgehog Software, LLC
Twitter
GitHub
Discord
System
Light
Dark
More
Communities
Docs
About
Terms
Privacy
matrices - iTeachChem
i
iTeachChem
•
3w ago
•
81 replies
Fusion
matrices
🧮
Maths
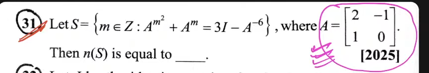
can we solve this with cayley hamilton theorem somehow
?
iTeachChem
Join
A Study Community for Everyone and Everything. We have weekly sessions on Spirituality, Math and Science! JEE, NEET prep? All doubts are crowdsourced. Hare Krishna!
1,690
Members
View on Discord
Resources
ModelContextProtocol
ModelContextProtocol
MCP Server
Similar Threads
Was this page helpful?
Yes
No
Similar Threads
matrices
i
iTeachChem / 💭│doubts
2mo ago
matrices
i
iTeachChem / 💭│doubts
2mo ago
matrices
i
iTeachChem / 💭│doubts
2mo ago
Matrices
i
iTeachChem / 💭│doubts
5mo ago
Next page