@everyone Qwen Image 2511 is truly a massive upgrade compared to 2509. Full step by step how to use tutorial published and i have compared as well https://youtu.be/YfuQuOk2sB0 If you can upvote, leave a comment I appreciate that: https://www.reddit.com/r/comfyui/comments/1pv9snm/qwen_image_edit_2511_is_a_massive_upgrade/
Furkan Gözükara SECourses · 2d ago
@everyone After doing massive research our Wan 2.2 LoRA training tutorial is ready and published thankfully https://youtu.be/ocEkhAsPOs4 If you can upvote, leave a comment I appreciate that: https://www.reddit.com/r/comfyui/comments/1pscwvr/wan_22_complete_training_tutorial_text_to_image/
Furkan Gözükara SECourses · 6d ago
@everyone After doing massive research our Z Image Turbo LoRA training tutorial is ready and published thankfully https://youtu.be/ezD6QO14kRc If you can upvote, leave a comment I appreciate that: https://www.reddit.com/r/comfyui/comments/1pedr0v/zimage_turbo_lora_training_with_ostris_ai_toolkit/
Furkan Gözükara SECourses · 4w ago


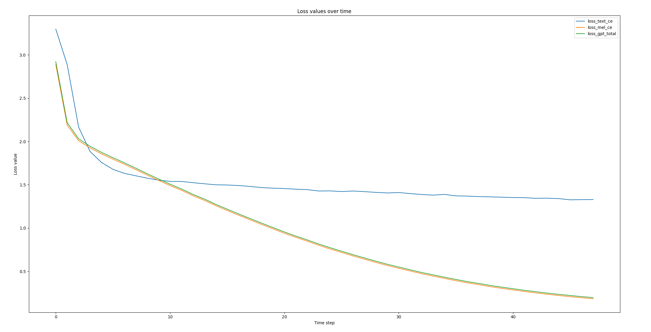
Hello and welcome, one and all! Today, we are embarking on an exciting journey through the most intuitive and comprehensive deep voice cloning tutorial you will find anywhere. Our mission? To show you how to train your voice and generate hours of speech in just a single click.
This tutorial is built on open source projects, meaning it is entirely free and runs directly on your own computer. You may have heard of pricey services like Eleven Labs that offer voice training and speech synthesis. But why break the bank when you can achieve stunning results without any prior technical knowledge? That is right, all you need to do is follow along with me.
Interestingly, the voice you are hearing now is a deep clone! Drop a comment to let me know what you think, and who it reminds you of. We will switch to my natural voice after this introduction, so stay tuned!
Every step of this tutorial is meticulously detailed, both in this video and in the accompanying GitHub introduction file. This file is your one stop shop, packed with all the information you will need. You will find the link in the description and the pinned comment, so don't forget to check it out.
Are you wondering why this tutorial stands out from the rest? It is because, with a simple drag and drop, your speech file can be transformed into your complete training data. Thanks to our chosen user friendly graphical user interface, you can set up all training parameters and launch your training with just a single click. Once the training is complete, my specially developed scripts will enable you to convert an entire text file into speech, again, just by dragging and dropping. What is more, each step is clearly documented and demonstrated in this tutorial video, making it incredibly easy for you to follow along. This tutorial offers a seamless and convenient process unlike any other.
So, are you ready to jump into the world of voice cloning? Let's get started!