22 Replies
@Gyro Gearloose
Note for OP
+solved @user1 @user2...
to close the thread when your doubt is solved. Mention the users who helped you solve the doubt. This will be added to their stats.Heres my attempt

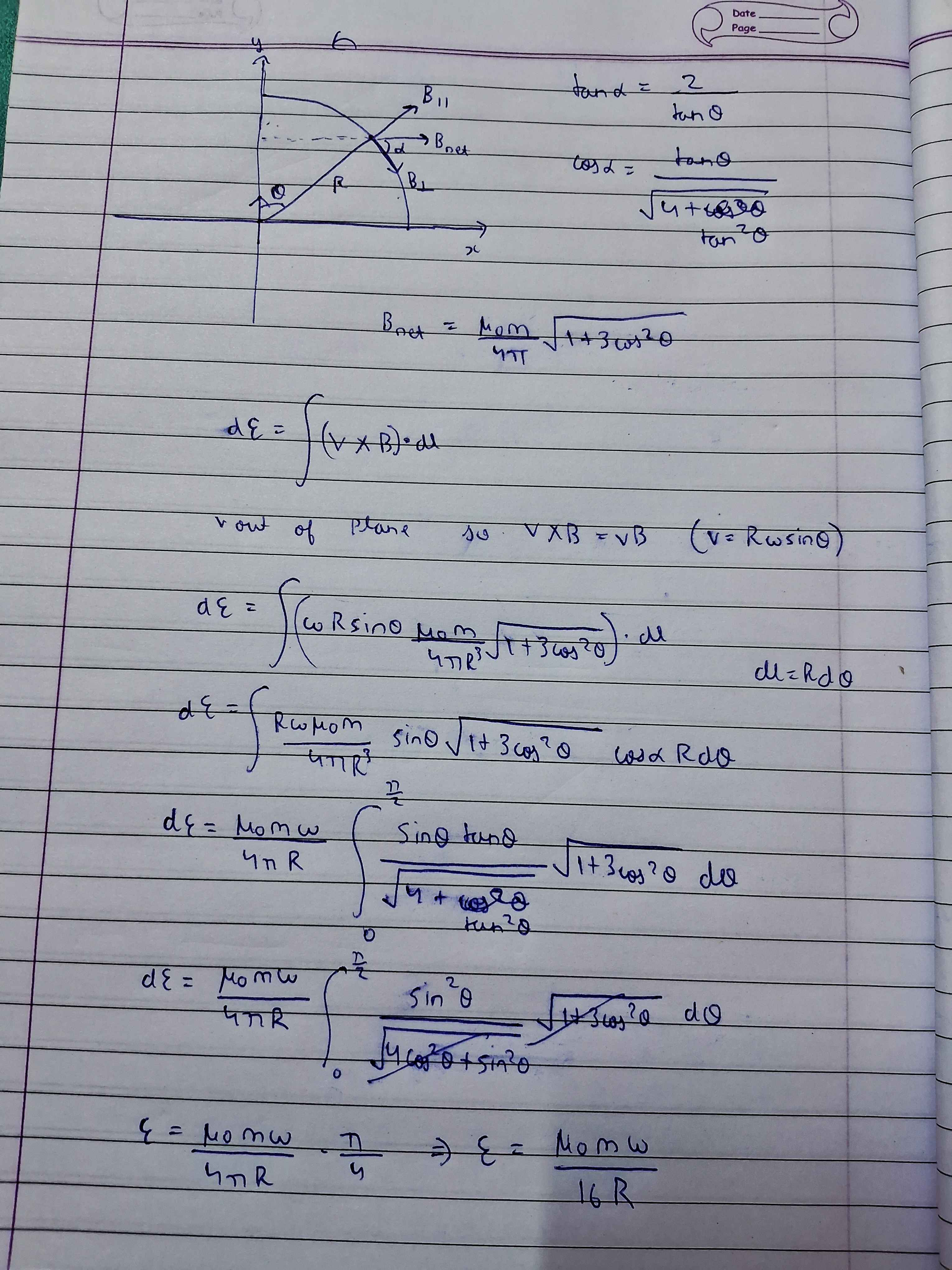
Answer is option C seems like they got it if u take velocity as directly omega *R instead of what i have taken, then u get answer but we have to take component perpendicular to velocity right?

should be sinalpha? cuz we need bparallel?

idt we can take romega.. it's rotating about y axis right
Yes see again i was confused abt it, idts we can take r*omega cuz its rotating abt y axis so shoult it be rsin(theta) * omega
No its dot product between b net and dl so it should be cos(alpha) right? Aka b perpendicular cuz we need component along dl or lenght on arc
oh meine galat axis lelia
i took Bradial wrong as well

Ismein kuch galat hai??
Here why did u take radial comp shoultne it be tangential as acc to formuka is (vxB).dl which means we need to take component of B along dl (arc lenght) so isnt tht tangential component of B?
i just used e= BVl where B V l all are perpendicular to each other
didnt think about B cross V
Bruh but think abt it v cross B is simpli vB since v is out of plane so they both perp, issues comes with dot producct do check it nd think once using this
ill try
a t=0 we take velocity vector as omega R sintheta -k cap ?
Bvector toh aa jayega
v cross B and dl ke beech ka angle ?
yea i found that out to be alpha ( v cross b is just v * Bnet)
and if u do Bnet * co(alpha) dl it will just yeild u tanential component of B
Isn't the formula (v x B).l (all vectors)? When you take sinalpha u do get the right ans.. I'm not sure though
And yeah like all three have to be perpendicular to each other.. so shouldn't it be Bparallel
yea lol i got it now i was making a silly mistake, v cross B acctually gives a direction perp to Bnet which makes an angle of 90-alpha with dl so dot product would just give Bv * sin(alpha) dl
@integralofe^2v ok here?
+solved @hardcoreisdead @nori
Post locked and archived successfully!
Archived by
<@813025027611688970> (813025027611688970)
Time
<t:1756999857:R>
Solved by
<@741159941934415883> (741159941934415883), <@1239101937866248205> (1239101937866248205)