21 Replies
@Apu
Note for OP
+solved @user1 @user2...
to close the thread when your doubt is solved. Mention the users who helped you solve the doubt. This will be added to their stats.denominator:
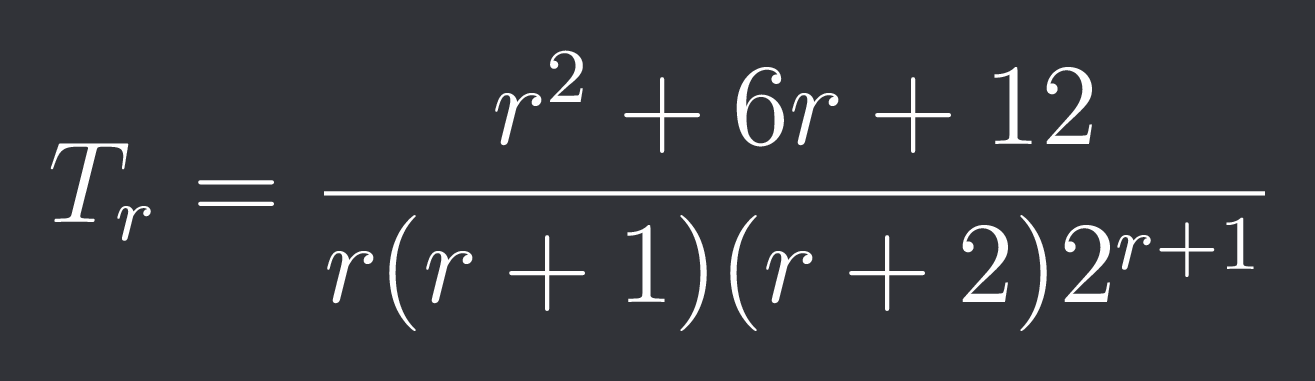
(n) (n+1) (n+2) (2)^(n+1)
yup
numerator is
r^2 +6r + 12
something +1
Ah
bro
thats messed up
its quad 🥀
lowkey
this doesnt track
wait
it doesn't
?
$$T_r = \frac{r^2 +6r + 12}{r(r+1)(r+2) 2^{r+1}}$$
wait that
the differences are 9, 11, 13
Why is the LaTeX messed up
thats AP with cd = 2
the general term should be correct
got it
sure so youve figured it out right
hell naw
the hard part is after that ig
how do I split ts in the form of +-f(r+1) -+ f(r)
________

sum is till infinity right @__ ?
Yup
gng
anyone?
@SirLancelotDuLac
have you tried vn
this looks vn able i guess
Yeah but making vn is hard here ;_;

This would be the painstaking way :/
G.p. sum till infinity ka integration is aln(1-r) jiska integration is -a(1-r)(ln(1-r)-1)
Jiska integration you can find by parts easily.
But still there ought to be a better method ðŸ˜
Actually you don't have to find the third integral
Just split the third term to 1/r(r+1) thingy and 1/(r+1)(r+2) thingy
It will be easier ig.
alright thanks