45 Replies
@Apu
Note for OP
+solved @user1 @user2...
to close the thread when your doubt is solved. Mention the users who helped you solve the doubt. This will be added to their stats.first determinant gives

clearly x is non real
second gives..?

Perfect square banao
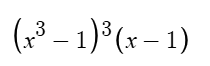
x^3-1=root3 i
Second wle me dalo yeh value
x-x^4 =x(1-x^3) kr lena
ho jyega solve
complex weak hai π₯
are sirf i^2 ko -1 hi dalna h last me or kuch nhi krna hai yaha
han han
(x^3-1)^2 = -2x^3 nahi aayeg
Equal to 3 nahi kia kya
Det ka value
:uhh:
usko karke yeh eqn aai hai
+4
(x^3-2)^2 = -2x^3 mb

acha
shi
-
Calculation dekhlo ;-; thoda neend me hu
x ko kya lunga
x^3 = 1+ iroot3 toh aa gya
x ko kya lena h
Tum second wala det hai
Usme x^3-1 ka value put krdo
X ko x chord do
Im sure wo cut jyega
arey aise kaise kat jayeg
Karke to dekh ek barπ
mera toh yeh bana tha karek
krta ruko me
9?
@CorrodedCoffin
calculation dekh lena 9 ara hai mera @CorrodedCoffin

yep
common agya :kekw:
π
baaki 3 mein se koi ho toh batana. determinants is killing me
just small hints
6 8 or 9?
yes π₯
trying 6 for now
Lunch krke dekhta
alr
ho gya
are
kisme doubt hai
8 and 9
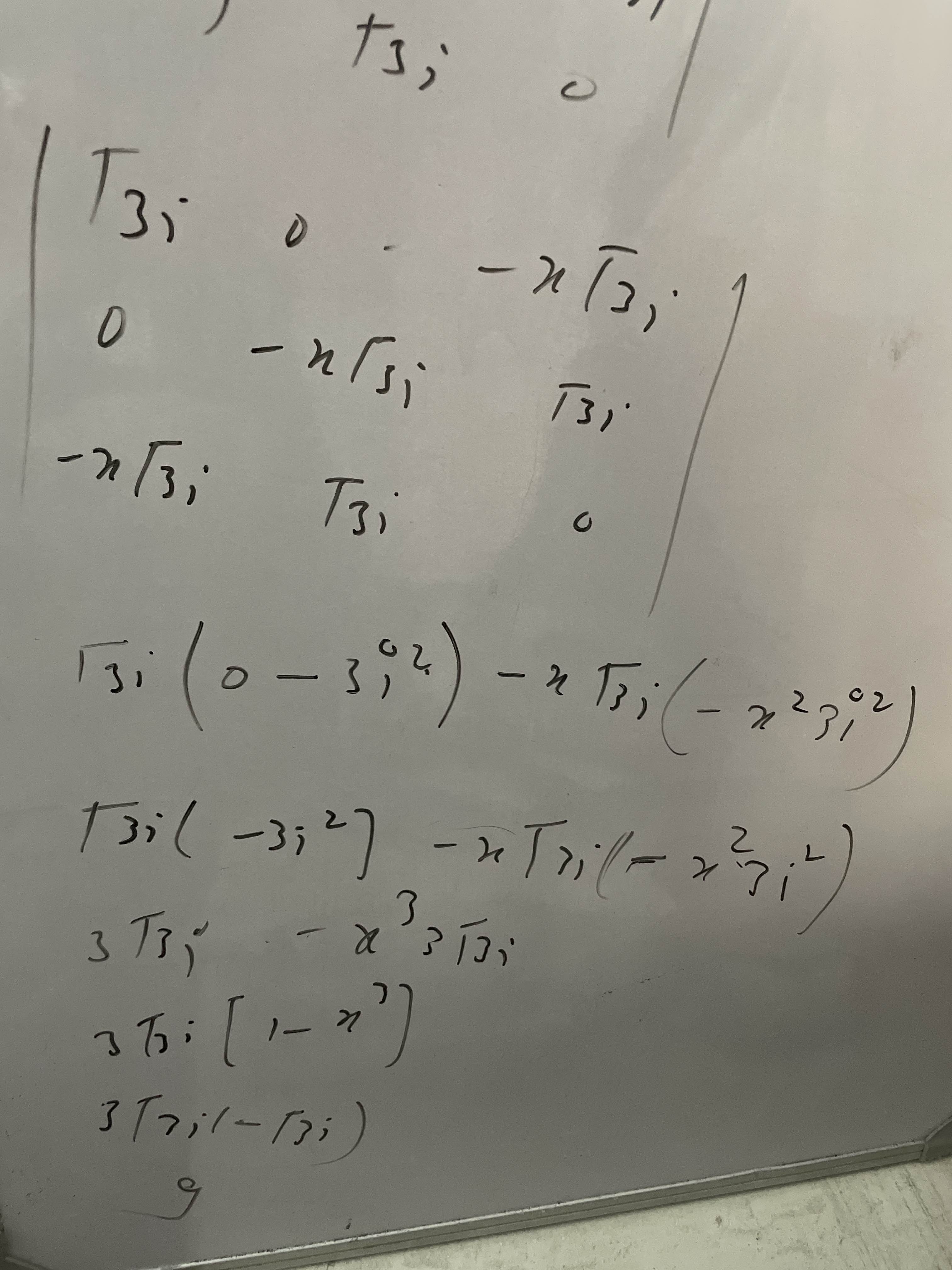
9 wle det ko thoda simplify krke open krdo
R1=R1-R2 and R2=R2-R1
Do zero ban jayega det me
Easy ho jyega thoda
8 is entirely geometry
think about what those variables represent
(coordinate geometry)
This looks fun.
Imma try this hold on.
Oh that's such a nice way.

sides of right angled triangle?
Distances between point with coordinates (a1,b1) (a2,b2) and (a3,b3) (Yeah the sides of triangle) and the determinant is the twice of algebraic area
well yes but ans is +- 24
+24 is understandable
Note I said algebraic area.
Algebraic area can be +ve or -ve depending on if the order of points in the determinant is clockwise or anti-clockwise
ohhhhhh
What?
Ye line smjhana koi
area likh determinant se
khud samjh aa jayega
well won't it be +/- 12? 24 kaise aaya
printing error in book