15 Replies
@Gyro Gearloose
Note for OP
+solved @user1 @user2...
to close the thread when your doubt is solved. Mention the users who helped you solve the doubt. This will be added to their stats.u doing pf ?
Nah mere dost ne bheja tha
Vo krta ha
damn
Pathfinder jitni aukat kahan
same
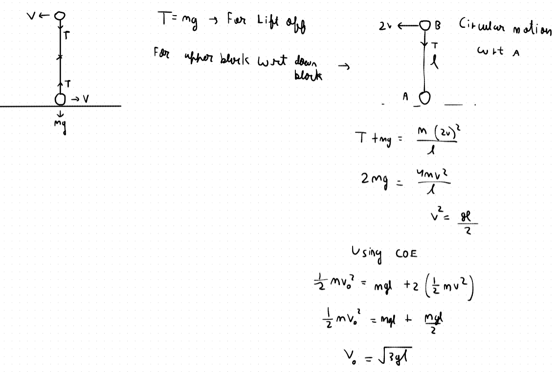
Isme ek theta pe agar mein maanlu ki leave kregi ball, to mtlb limitng case Tsin@ =mg
Fir kya karun
basically at this instant since theres no horizontal ext force actign so vel of both balls will be equal, and T=mg for liftoff, and also ball B is doing circular motion wrt ball A so u can find final velocity using tht and initial velocity using conservation of energy

Is T =mg necessary for liftoff. Cant liftoff take place at some angle
also note that when i did this que for firt time i had a doubt that why the lowermost ball will leave ground att his instant and why not at any angle theta? the answer i got was since tension will be completely used to lift of the mass m and no component of it is wasted
so this is th eminimum requred tension to lift of the ball hence minimum velocity.. and th eque asks us minium velocity
yes the ball may leave at some random angle theta too, if u increase the requred initial speed
Why is the tension completely used?
at any angle theta this would be the situation, now since cos(theta) is less than 1 tume tension increase krna padega hence initial velocity increase krni padegi, the max value of cos can only be 1 which means T ki minimal value will be just mg which just happens to be at when ball is at topmost point

Ohh
Yea i got it
+solved @integralofe^2v
Post locked and archived successfully!
Archived by
<@1382187168230936577> (1382187168230936577)
Time
<t:1757434549:R>
Solved by
<@813025027611688970> (813025027611688970)