23 Replies
@Gyro Gearloose

Note for OP
+solved @user1 @user2...
to close the thread when your doubt is solved. Mention the users who helped you solve the doubt. This will be added to their stats.33
basically for endo/exothermic process sign of delta H is checked which correspodns to sign of delta Q so basically first form a equation connecting delta Q to volume uing eqn of graph etc, then observe when a function changes its sign, it must be equal to 0, so set q=0 and solve for volume then
i figured out this im trying to form a eqn in Q as a function of V then ill diffrentiate it
Im having problem writing the internal energy change here
why differentiate
Work we can write as 1/2 PoVo
u need to observe a sign change in Q
At the point where it is going to change from Endo to exo it will be a maxima of Q
after that point Q will reduce
Yeah this is also correct though
hmm i did it by sign change, but u could be right too firstly for the equation
u should write work usign integration from v=0 to random v, not the entire work
Oh yeah right right
And abt internal energy?
write it like this

since P and V both are variable
ill try this
i think it will be an inflection point but yea the dq = 0 part works.
why inflection? The total heat is going to be decreased only so there must be a maxima at that point
my b, local maximum it is!
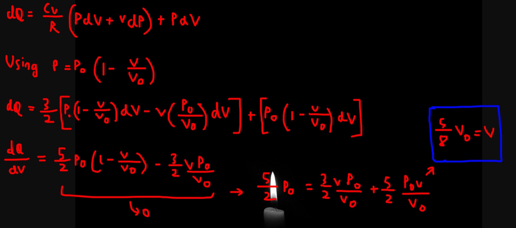
heres the sol btw incase, setting dq/dv directly zero or integrating it to find q and then setting it to 0 is same here ig

Yup thats same
yess
+solved @integralofe^2v
Post locked and archived successfully!
Archived by
<@1088352651567173632> (1088352651567173632)
Time
<t:1758438043:R>
Solved by
<@813025027611688970> (813025027611688970)