13 Replies
@Gyro Gearloose
Note for OP
+solved @user1 @user2...
to close the thread when your doubt is solved. Mention the users who helped you solve the doubt. This will be added to their stats.whats the vector form of snells law
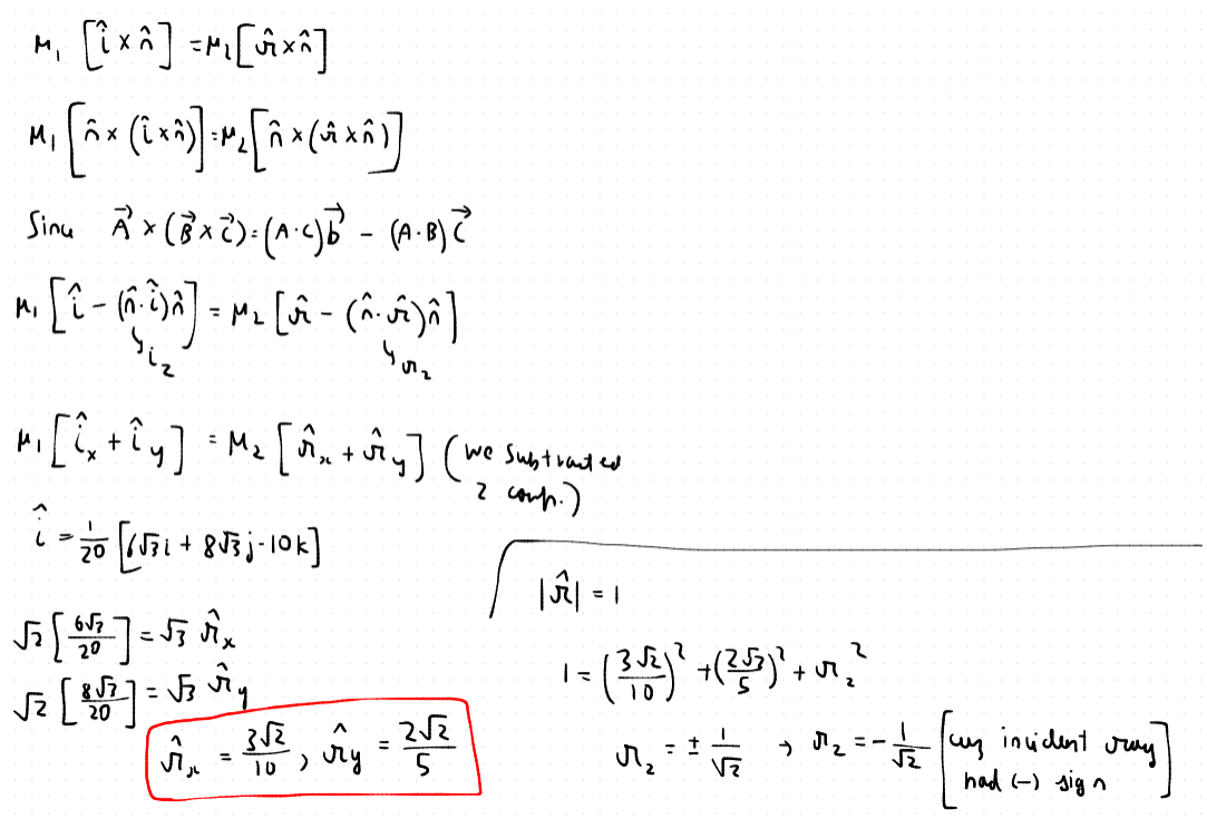
u1 ( i cap cross n cap ) = u2 ( r cap cross n cap )
n cap is unit vector in dirn of normal
same with i cap and r cap
yea thats valid sure
or u can use condition for 3 vectors to be perp which is A dot ( B cross C)=0
pls tell both ways
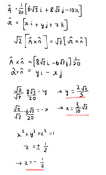
for ur formula i did it like this, its a bit hard since firstly itook cross product of n both sides and used vector cross product identity

then for the 2nd part we can see its js z comp of i cap and r cap and i cap - iz cap is just x and y comp of i cap
then i just equated coeff to get rx cap and ry cap
ok this turned out to be harder than expected
is there any other way
yea let me see if theres a more direct appraoch
basically yea u can just assume a unit vector r and do the cross product like this which turns out was acc pretty straight forward cuz normal was just along z axis, then compare coeff to find x and y comp

How do u know n cap is +k or -k
Why is z= -1/2 only
U can take normal as any the answer should be same, and for z see the sign of original normal vector, the k comp of its itd neg so u can think of it as pointing downards, and after refraction then refracted ray should also point downwards right? Thats why they should have same sign hence z is neg