15 Replies
@Apu
Note for OP
+solved @user1 @user2...
to close the thread when your doubt is solved. Mention the users who helped you solve the doubt. This will be added to their stats.@SirLancelotDuLac
do i need to assume matrix A and then apply all the given things ?
I remember this in a mathongo test ðŸ˜ðŸ˜
pyq hai lol
Again I'll try to do this in the evening.
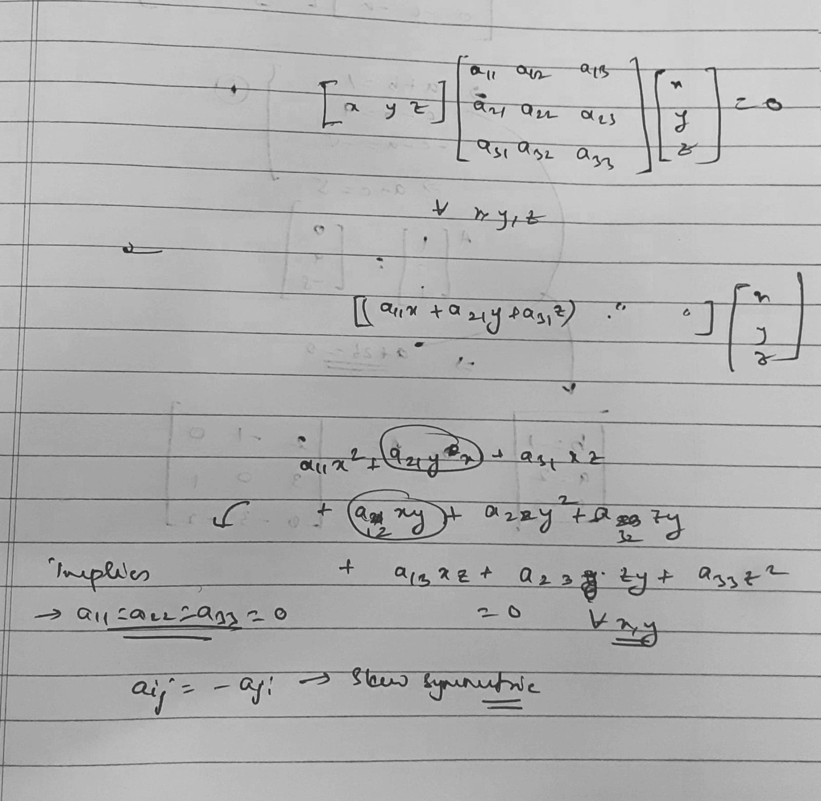
But ig the starting point will be solving the X'AX=0 for all (x,y,z) thing.
alrr


Ig sort of like this we can find A
then do more skibidi stuff to find the required thing :sweaty:
skibdi stuffðŸ˜
True though
Like ts ain't worth it
Unless you alr know some property
Definitely
@CorrodedCoffin is this resolved?
well if there isnt any shorter method then yeah
+solved @SirLancelotDuLac
Post locked and archived successfully!
Archived by
<@741159941934415883> (741159941934415883)
Time
<t:1758880659:R>
Solved by
<@1075951732460376214> (1075951732460376214)