Itf
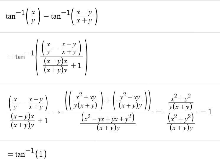
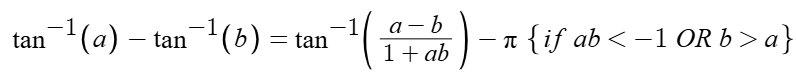
Im getting only pi/4? After applying the formula sab kuch to cancle out hora hai! -3pi/4 kese ayega

17 Replies
Topmost question
@Apu
Note for OP
+solved @user1 @user2...
to close the thread when your doubt is solved. Mention the users who helped you solve the doubt. This will be added to their stats.cool but u forgot something

if

now u cant be that, x/y > or = or < x-y/x+y
or
(x-y)x/(x+y)y > = or < -1
so consider all cases
pi/4 - pi = -3pi/4
thats where it comes from
then there should be one more ans na ? 5pi/4 if x(x-y)/y(x+y)>1
-3pi/4 and 5pi/4 are the same thing

but yes u should check that too
Alright
Thanks man
do +solved
wait ur in class 9
what
damn
come to general
sure
+solved @AY
Post locked and archived successfully!
Archived by
<@1088352651567173632> (1088352651567173632)
Time
<t:1759240336:R>
Solved by
<@928940800178544691> (928940800178544691)