13 Replies
@Apu
Note for OP
+solved @user1 @user2...
to close the thread when your doubt is solved. Mention the users who helped you solve the doubt. This will be added to their stats.What about 6
Absolutely clueless in 6th
Yeah partial in 2nd ques
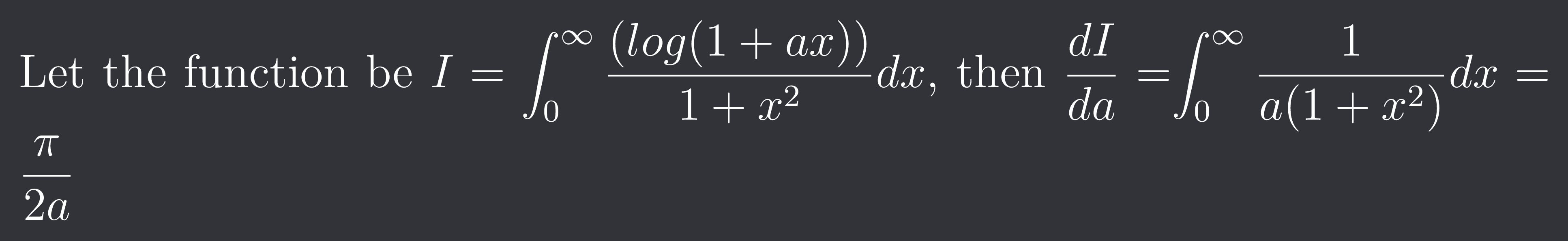
@Phalawor maybe put x = tan(theta) and accordingly change the limit and variable of integration.
SirLancelotDuLac

SirLancelotDuLac
Compile Error! Click the :errors: reaction for more information.
(You may edit your message to recompile.)

Abey ye aaj sikhaya hume 💀💀💀
Oye wait tho
Kya
What is this
💀💀

Sending this so I don't have to scroll lol
Oh crap
Bruh it's not ln(1+x) ðŸ«
Then toh just plug in x=1/t
And you'll get I=-I
So I=0 ðŸ˜
Sorry @Phalawor
But
Why
Why am I plugging this here
Look, mostly dekh ke you can see not a lot of properties help. Also its not very easily integrable. So you have to think about how to show I=-I or something.
For that you have to replace x by something
Now 1+x^k kinda stuff is usually a give away
Because placing 1/x^k in place of x^k gives you (1+x^k)/x^k which may be canceleld out after sub
Damn bro that is painful
;_;