Straight lines
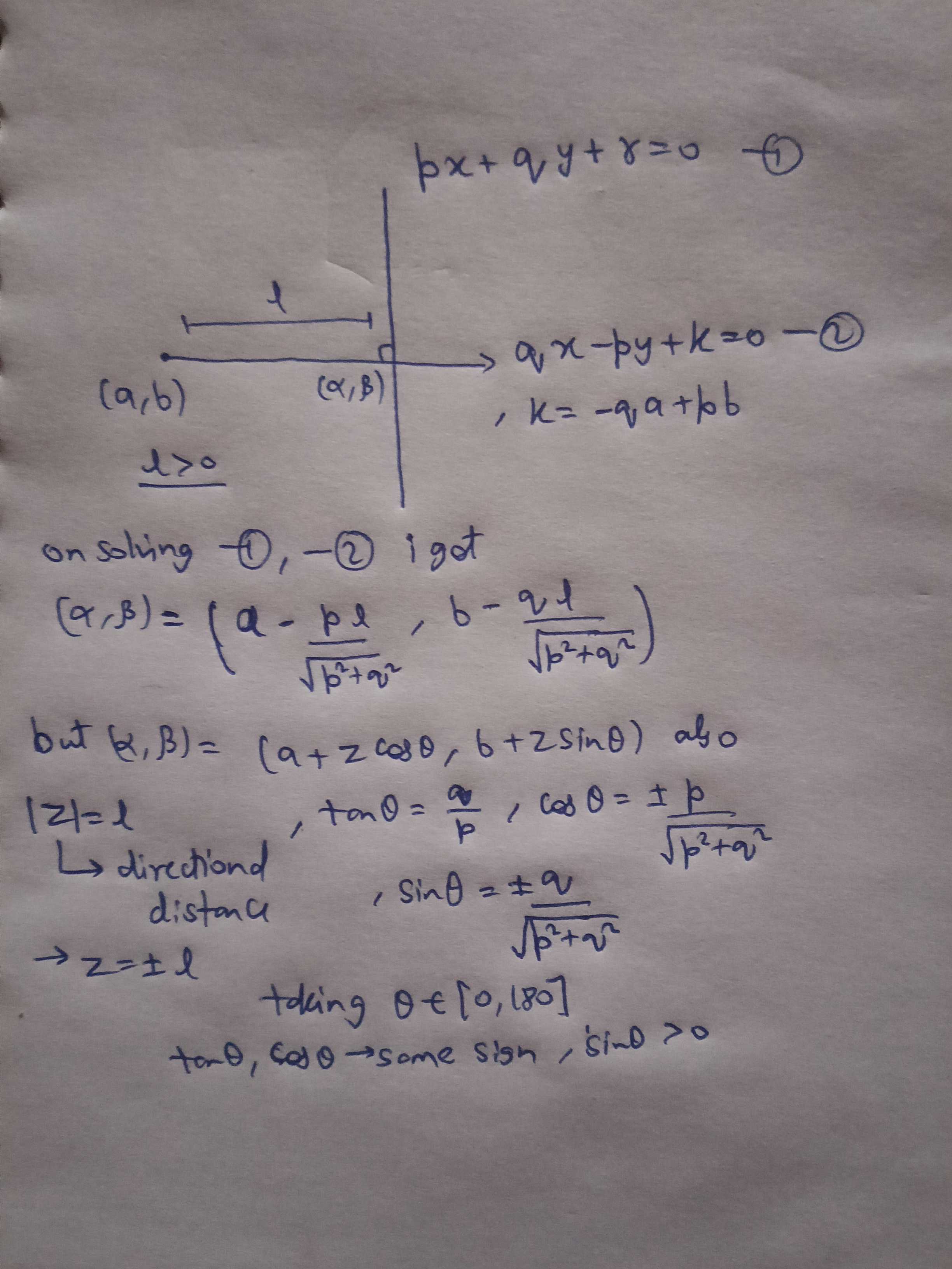
Bit confused on solving both perpendicular lines and obtaining intersection we getting straight (-) sign in both places
But while doing zcos, z sin method we have ± on z , cos , sin all three
I just want to know how can i get this logically that there will be (-) sign directly without solving equations
But while doing zcos, z sin method we have ± on z , cos , sin all three
I just want to know how can i get this logically that there will be (-) sign directly without solving equations
