46 Replies
@Dexter
Note for OP
+solved @user1 @user2... to close the thread when your doubt is solved. Mention the users who helped you solve the doubt. This will be added to their stats.Wtf
Thats the first time im seeing that
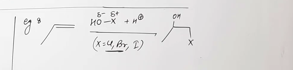
Addition reaction
Part of organic
electrophilic addition by non classical carbocation (ncc)
Ya tell me how to make the mechanism?

-OH react nhi karge H+ ke sath?
HOCl phele H2O aur Cl- me tutega then H2O attack karega waise toh
To apne H2O banaya nhi mechanism mae
simplify kardiya tha maine mbmb
like properly toh wahi hoga ki H2O hi attack karega
And one more thing
(product change nahi hoga)
Ye wala H+ electrophile ki tarah attack nhi kr skta?

usse jo intermediate banega wo classical carbocation banega right?
but non classical carbocation is better than classical one because NCC me octet complete hai
Ha uske pass lone pair nhi hae
isliye path change hojata hai reaction ka
Octet to dono mae complete hota hae
classical me nahi hota 6e- in classical
carbanion se confuse kar rahe ho shayad
Final product to neutral he hota hae classical and non classical mae
arey intermediate ki baat kar raha hu mai

Ye dekho dono mae ek he + hae
han but E ka octet complete hai na
Dono mae to hae koi charge dikh rha hae upar?
E mae
+ ka matlab ye hamesha nahi hota ki octet incomplete hai
+ toh formal charge hota hai na
jaise jab N chaar bond banale tab bhi toh + aata hai iska matlab ye nahi hai ki uska octet incomplete hai
Octet complete hae banake dikau?
kiska?
Dono case mae
arey mai intermediate ka bol raha hu, classical carbocation ka nahi hai complete
iska octet incomplete hai

Ye lo classical ka case

Konsa octet incomplete hae?
arey inhone intermediate banaya hi nahi is reaction me
direct product banadiya
Are H+ hoga Br- mind mae krlo
???
intermediate bhai
Banata hu
carbocation banao

han carbocation dekho incomplete octet hai uska
Samaj gya thnx
alr
bhai 12th me hu, actually kha gya tha ncc banta hai
š
Mechanism nhi padhaya?
Itni bajati mat kar bhai
Syllabus kaafi din se complete hai š¢
Inorganic ne brain rot kar diya
Acha dimag se nikal gya
Koi na
