iTeachChem

I

iTeachChem

A Study Community for Everyone and Everything. We have weekly sessions on Spirituality, Math and Science! JEE, NEET prep? All doubts are crowdsourced. Hare Krishna!

Join

💭│doubts

💭│ask-ncert

AC

how to get D i1 is correct i2 is same as i1 but +pi/4 instead of -pi/4...
No description

FLOT

Should delta H-delta U be equal to -delta W which means it is P delta V which is P*(mass of 1 mol Sn)(1/density1-1/density2)?
No description

Thermodynamics-First Law

Should delta H-delta U be equal to -delta W which means it is P delta V which is P*(mass of 1 mol Sn)(1/density1-1/density2)?
No description

EMI rod slipping

i feel like theres some way in which dl/dt can be related to v cat figure out how...
No description

constraint relations

pls do with virtual work method
No description

EMI

ikik bahot standard case hai but iska proper ek deriviation bhej sakta hai kya koi i feel like the integration on this one is getting to me 😭 Integration Thursday start hogi 🙏...
No description

Continuity

how do i analyse this functin
No description

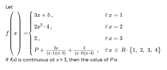
Continuity

how do i do this 😭
No description

Emi

Yall where am i going wrong with this?
No description

emi - emf calculation

idk why im unable to get to the ans. could someone pls share the soln? ans 3/2 (Bwl^2)/R
No description

nlm 2

are these 4 eqns correct to get a1 a2 a3
No description

3D

What to do in this?
No description

nlm

how to apply virtual work method here
No description