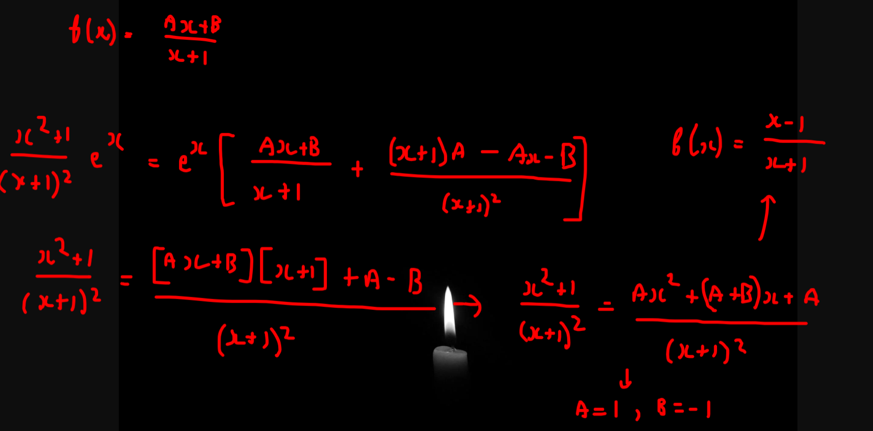
integration
ik e^x ( f(x) +f'(x)) would be used and f(x) would be (smthing)/x+1 cuz (x+1)^2 . how to fig out "smthing"

+solved @user1 @user2... to close the thread when your doubt is solved. Mention the users who helped you solve the doubt. This will be added to their stats.
