Search
Get Started
i
iTeachChem
•
3d ago
CorrodedCoffin
integration 3
iTeachChem
Join
A Study Community for Everyone and Everything. We have weekly sessions on Spirituality, Math and Science! JEE, NEET prep? All doubts are crowdsourced. Hare Krishna!
1,659
Members
View on Discord
Was this page helpful?
Yes
No
I
iTeachChem Helper
•
12/13/25, 5:00 AM
@1227988399579730072
I
iTeachChem Helper
•
12/13/25, 5:00 AM
Note for OP
+solved @user1 @user2...
+solved @user1 @user2...
to close the thread when your doubt is solved
. Mention the users who helped you solve the doubt
. This will be added to their stats
.
P
Prasan
•
12/13/25, 2:22 PM
P
Prasan
•
12/13/25, 2:22 PM
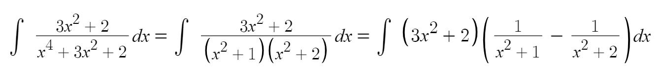
dusre integral mein dikkat aarahi ha
C
CorrodedCoffin
Click to see attachment
S
SirLancelotDuLac
•
12/15/25, 12:59 PM
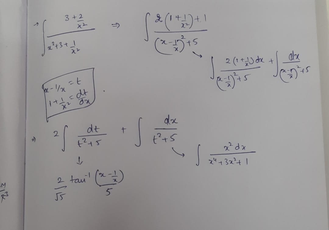
Write denominator as
(x
^2
+1
)
^2
+x
^2
S
SirLancelotDuLac
•
12/15/25, 12:59 PM
Uske baad notice ki iska derivative is 2
(x
^3
+2x
)
S
SirLancelotDuLac
•
12/15/25, 1:00 PM
Jiska derivative is 2
*
(numerator
)
S
SirLancelotDuLac
•
12/15/25, 1:00 PM
So you have some f
'
'
/f
S
SirLancelotDuLac
•
12/15/25, 1:01 PM
Idk if we can go forward with this
, but yea I
'll look at this later
A
AY
•
12/16/25, 2:24 AM
A
AY
•
12/16/25, 2:25 AM
i also noticed this today morning i was looking at this at night