I
iTeachChem
A Study Community for Everyone and Everything. We have weekly sessions on Spirituality, Math and Science! JEE, NEET prep? All doubts are crowdsourced. Hare Krishna!
JoinI
iTeachChem
A Study Community for Everyone and Everything. We have weekly sessions on Spirituality, Math and Science! JEE, NEET prep? All doubts are crowdsourced. Hare Krishna!
JoinAOD
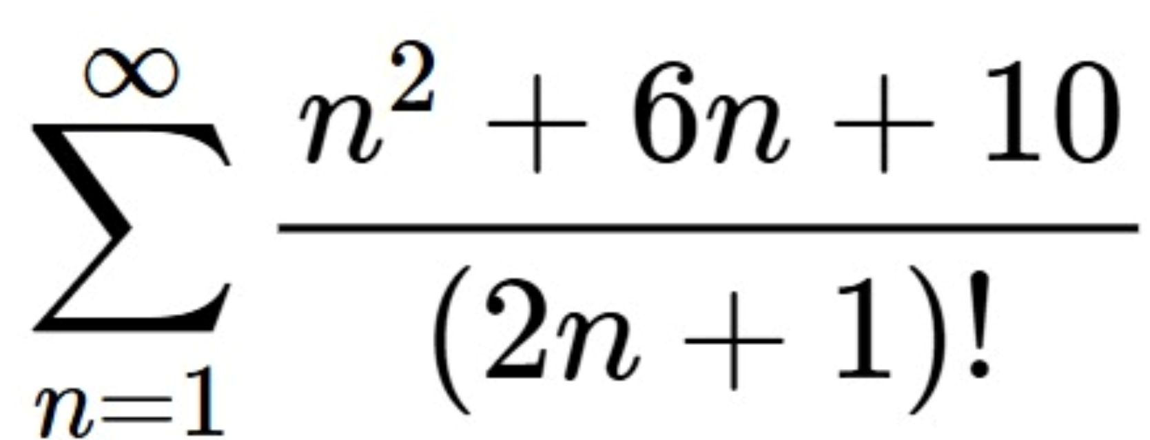
After derivating fx, we get a quqdratic. Now uska D<0 karna ha. After doing that i got (c+1)^2<16. Which gives me -5<c<3. Whats wrong?

Nlm wedge constraint
How would we do this if the inclined surface was on a frictionless surface, assume mass of incline as M

Pinacol-Pinacolone Rearrangement
Could anyone please provide the mechanism for the reaction when this reacts with H+ ?

Double Indicator
A mix contains both Na2CO3 and NahCO3. Find the no. Of moles of each if 2 moles HCL are req to change the color of solution if HPh is used as indicator and 7 moles if Me-orange is used a indicator separately.
Magnetism
Can anyone please solve any one part out of these four questions it's kinda a comprehension type question since they're all connected,I've forgotten the logic on how to use the ampere's law here, thanks.

nlm
How do I do the 4rth part, q16
(Yes ik its an example but the answer isn't clear, I also know this is probably an easy question but j)...

Surface Chemistry
ive studied that colloids show very little colligative properties. but they still do right? and acc to that there should be a depression in freezing pt but then why is option B correct

Optics
Just had a theoretical doubt. Suppose there is a concave mirror. If we break that mirror from its pole, there will be 2 identixal type of mirrors. What would be their principal axis?